반응형
1. 가우스 적분이란? |
위 식을 적분하는 것을 가우스 적분이라고 합니다. 이는 직교 좌표계로는 적분할 수 없기 때문에 극좌표계를 활용해야 합니다. 극좌표계는 고등학교 교과과정에 포함되지 않기 때문에 포스팅 제목을 다소 자극적으로 적었습니다.
2. 대표적인 가우스 적분값 구하기 |
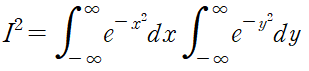
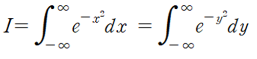
위 식의 가우스 적분값을 구해보겠습니다. 위 식을 곱하면 아래 식을 만들 수 있습니다.
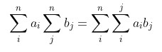
여기서 시그마의 성질에 대해서 생각해보아야 합니다.
이 성질을 활용한다면 곱으로 표현된 적분을 이중적분으로 바꿀 수 있습니다.
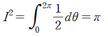
여기서 이제 직교 좌표를 극좌표로 변환해야합니다. 변환 공식은 다음과 같습니다.
※ dxdy는 직교 좌표계에서의 미소 면적입니다. 극좌표계에서의 미소 면적은 rdrdθ입니다. 반지름의 길이가 dr만큼 변했을 때 호의 길이는 rdθ만큼 바뀌기 때문입니다. rdrdθ를 엄밀히 말하면 직사각형은 아닙니다. 하지만 워낙 작은 면적이기 때문에 직사각형으로 생각할 수 있습니다.
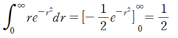
위의 공식을 활용해서 I의 제곱을 다시 나타냈습니다.
즉, I=√π 가 됩니다.
반응형
'학문 > 수학' 카테고리의 다른 글
계산기에서 루트를 무한히 누르면 어떻게 될까? (1) | 2022.03.09 |
---|---|
방향 코사인: 공간에서 코사인 제곱의 합은 1? (0) | 2022.02.15 |
평행 육면체의 부피를 구하는 방법: 삼중적 (0) | 2022.02.10 |
오일러 공식의 증명과 활용 (0) | 2022.01.27 |