반응형
계산기에서 루트를 무한히 누르면 어떻게 될까요? 한 번 생각해봅시다.
위의 움짤처럼 1이 됩니다. 그럼 루트를 무한히 씌웠을 때 왜 값이 1이 되는지 확인해보도록 하겠습니다.
증명 1. |
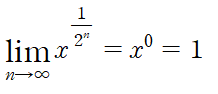
임의의 양수를 x라고 하겠습니다. x에 루트를 n번 씌우면 아래와 같이 나타낼 수 있습니다.
여기서 n을 ∞로 보내면 루트를 무한히 씌우는 것이 되는 것이죠. 그렇다면 아래와 같이 값이 1로 수렴하는 것을 볼 수 있습니다.
증명 2. |
이번에는 양수 x에 루트를 무한히 씌운 값이 양의 값(t)에 수렴한다는 사실을 안다고 가정하고 풀이해보겠습니다. 그렇다면 식을 아래와 같이 나타낼 수 있습니다.
위 식에 한 번 더 루트를 씌워봅시다.
위 식은 모두 같은 값으로 수렴해야 하기 때문에 t와 √t가 같아야 합니다. 이를 만족하는 t 값은 0 또는 1입니다. 앞서 t가 양수라고 했기 때문에 t는 1입니다. 즉, 임의의 양수에 루트를 무한히 씌우면 1로 수렴합니다.
반응형
'학문 > 수학' 카테고리의 다른 글
방향 코사인: 공간에서 코사인 제곱의 합은 1? (0) | 2022.02.15 |
---|---|
평행 육면체의 부피를 구하는 방법: 삼중적 (0) | 2022.02.10 |
고등학생은 못 푸는 수학 문제: 가우스 적분 (0) | 2022.01.31 |
오일러 공식의 증명과 활용 (0) | 2022.01.27 |