반응형
3개의 벡터로 구성된 평행 육면체의 부피를 구하는 방법에 대해서 알아보겠습니다.
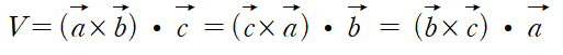
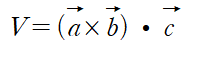
평행 육면체의 부피를 구하는 방법은 밑면의 넓이 * 높이입니다. 이를 다르게 표현하면 아래와 같습니다.
지금부터 밑면의 넓이 * 높이가 어떻게 위 식처럼 바뀌는지 살펴보겠습니다.
위 사진은 평행 육면체의 밑면만을 그린 그림입니다. 사각형 OACB의 넓이는 밑변 * 높이로 구할 수 있습니다. OA의 길이는 벡터 a의 크기와 같습니다. 또 CH의 길이는 벡터 b의 크기에 sinθ를 곱한 값과 같습니다. 즉, 사각형 OACB의 넓이는 a벡터와 b벡터의 외적값과 같습니다.
이제 평행 육면체의 높이를 구해봅시다. c 벡터와 z축이 이루는 각도를 α라고 하겠습니다. 이때 평행 육면체의 높이에 해당하는 OE의 길이는 c 벡터의 크기에 cos α를 곱한 값입니다. 즉, 평행 육면체의 부피는 벡터 a와 벡터 b의 외적에 벡터 c를 내적해서 구할 수 있습니다.
앞서 설명할 때는 벡터 a와 벡터 b가 이루는 면을 밑면으로 설정하였습니다. 하지만 다른 면을 밑면으로 설정하여도 평행 육면체의 부피는 동일한 값을 가집니다.
반응형
'학문 > 수학' 카테고리의 다른 글
계산기에서 루트를 무한히 누르면 어떻게 될까? (1) | 2022.03.09 |
---|---|
방향 코사인: 공간에서 코사인 제곱의 합은 1? (0) | 2022.02.15 |
고등학생은 못 푸는 수학 문제: 가우스 적분 (0) | 2022.01.31 |
오일러 공식의 증명과 활용 (0) | 2022.01.27 |