반응형
OA=a, OB=b, OC=c 라고 하겠습니다. 또, OD와 x축이 이루는 각도는 θ_{1}, OD와 y축이 이루는 각도는 θ_{2}, OD와 z축이 이루는 각도는 θ_{3}라고 가정합니다. 이때 코사인 제곱의 합이 1임을 증명하겠습니다.
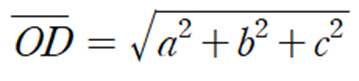
우선 피타고라스의 정리를 통해 OD의 길이를 구해보겠습니다.
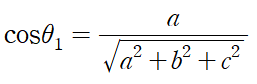
△ OAD를 보면 ∠ OAD = 90º이고 선분 OD가 빗변임을 확인할 수 있습니다. 앞선 정의에 따라 ∠ DOA= θ_{1} 입니다.
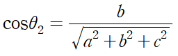
△ OBD를 보면 ∠ OBD = 90º이고 선분 OD가 빗변임을 확인할 수 있습니다. 앞선 정의에 따라 ∠ DOB= θ_{2} 입니다.
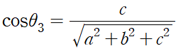
△ OCD를 보면 ∠ OCD = 90º이고 선분 OD가 빗변임을 확인할 수 있습니다. 앞선 정의에 따라 ∠ DOC= θ_{3} 입니다.
이를 종합하면 다음과 같습니다.
위 식은 a,b,c와 관계없이 항상 성립합니다. a,b,c에 제한이 없다는 말은 선분 OD가 3차원 공간 상에서 임의의 선분이 될 수 있다는 말과 같습니다.
"3차원 공간 상에 있는 어느 한 직선과 x축, y축, z축이 이루는 각들의 코사인 제곱합은 1이다."
반응형
'학문 > 수학' 카테고리의 다른 글
계산기에서 루트를 무한히 누르면 어떻게 될까? (1) | 2022.03.09 |
---|---|
평행 육면체의 부피를 구하는 방법: 삼중적 (0) | 2022.02.10 |
고등학생은 못 푸는 수학 문제: 가우스 적분 (0) | 2022.01.31 |
오일러 공식의 증명과 활용 (0) | 2022.01.27 |