반응형
1. 오일러 공식이란? |
오일러 공식은 삼각 함수와 지수 함수의 관계를 보여준 공식입니다. 식은 아래와 같습니다.
위 식에 x에 π를 대입합시다.
이 식은 세상에서 가장 아름다운 수학 공식으로 불리는 오일러 등식입니다.
2. 오일러 공식 증명 |
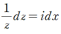
z=cosx+isinx 라고 가정합시다. z를 x에 대해 미분하겠습니다.
이때 i * i = -1을 활용해서 위 식을 다시 정리해줍니다.
이 식을 다시 적분하기 용이하게 정리한 다음에 적분하겠습니다.
앞서 정의한 z식을 보면 x=0을 대입했을 때 z=1임을 알 수 있습니다. 즉, 적분 상수 C가 0입니다.
3. 오일러 공식은 어디에 활용되는가? |
오일러 공식은 삼각 함수를 지수 함수로 바꿔서 표현합니다. 이 지수 함수는 삼각 함수에 비해 미적분 계산에 용이하다는 장점이 있습니다. 따라서 오일러 공식은 양자 역학에서 많이 사용됩니다. 양자 역학에서 파동을 설명하기 위해서는 삼각함수가 꼭 나오기 때문입니다.
반응형
'학문 > 수학' 카테고리의 다른 글
계산기에서 루트를 무한히 누르면 어떻게 될까? (1) | 2022.03.09 |
---|---|
방향 코사인: 공간에서 코사인 제곱의 합은 1? (0) | 2022.02.15 |
평행 육면체의 부피를 구하는 방법: 삼중적 (0) | 2022.02.10 |
고등학생은 못 푸는 수학 문제: 가우스 적분 (0) | 2022.01.31 |