1. 면 간 거리 공식 유도 |
면 간 거리란 인접한 2개의 평행한 면 사이의 거리입니다. 면 사이의 거리를 구하는 일반적인 방법은 면 위의 하나의 점에서부터 다른 평행면까지의 수직 거리를 구하는 것입니다. 여기서 면 간 거리를 쉽게 구하는 아이디어가 나오게 됩니다. 바로 면 위의 한 점을 원점으로 설정하는 것입니다.
그렇다면 가장 인접한 평행한 면은 원점을 항상 지날까요? 네 그렇습니다. 어떤 경우든 적절히 평행 이동한다면 원점을 지나도록 설정할 수 있습니다. 아래 그림도 마찬가지로 (120)평면에 가장 인접한 평행한 평면이 원점을 지나는 것을 확인할 수 있습니다.
즉, 면 간 거리란 원점에서부터 특정 면까지의 수직 거리입니다. 이를 토대로 증명을 시작해보겠습니다.
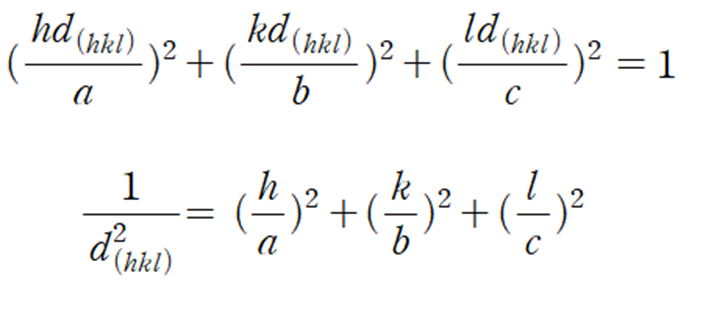
△ ABC를 포함한 평면이 (hkl)이라고 가정하겠습니다. 그렇다면 밀러 지수에 따라 A점의 좌표는 (a/h,0,0), B점의 좌표는 (0,b/k,0), C점의 좌표는 (0,0,c/l)입니다. 이제 원점 O에서 평면 (hkl)에 수선을 내리겠습니다. 그 때 수선의 발이 점 H이고 OH의 거리를 d_(hkl)라고 하겠습니다. OH와 평면 (hkl)는 수직하기 때문에 선분 OH와 선분 HA, 선분 HB, 선분 HC는 각각 수직입니다. 따라서 3개의 직각 삼각형을 확인할 수 있습니다.
먼저 △ OHA를 보겠습니다. 선분 OH와 x축이 이루는 각도를 θ_{1}이라고 하겠습니다.
이제 △ OHB를 보겠습니다. 선분 OH와 y축이 이루는 각도를 θ_{2}이라고 하겠습니다.
이제 △ OHC를 보겠습니다. 선분 OH와 z축이 이루는 각도를 θ_{3}이라고 하겠습니다.
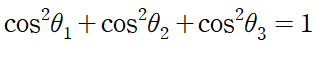
여기서 공간에서 방향 코사인의 제곱합이 1임을 떠올려봅시다.
이 식에 각각의 코사인 제곱들을 대입하면 다음과 같은 식이 나오게 됩니다.
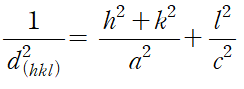
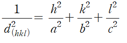
2. 면 간 거리 공식 정리 |
ⓐ 사방(orthorhombic)의 경우(a≠b≠c)
ⓑ 정방(tetragonal)의 경우(a=b≠c)
ⓒ 입방(cubic)의 경우(a=b=c)
2022.02.15 - [학문/수학] - 방향 코사인: 공간에서 코사인 제곱의 합은 1?
방향 코사인: 공간에서 코사인 제곱의 합은 1?
OA=a, OB=b, OC=c 라고 하겠습니다. 또, OD와 x축이 이루는 각도는 θ_{1}, OD와 y축이 이루는 각도는 θ_{2}, OD와 z축이 이루는 각도는 θ_{3}라고 가정합니다. 이때 코사인 제곱의 합이 1임을 증명하겠습니
lazywriter.tistory.com
'학문 > 결정학' 카테고리의 다른 글
7개의 결정계(crystal system)와 symmetry direction (2) | 2022.02.24 |
---|---|
X선의 보강간섭, X선 회절을 사용하는 이유, X선 회절의 장점과 활용 (0) | 2022.02.12 |
결정학) 역격자 벡터의 정의와 성질 (0) | 2022.02.05 |
결정학) 결정 구조의 밀도 계산과 선밀도와 면밀도 (2) | 2022.02.02 |