결정학) 역격자 벡터의 정의와 성질

학문/결정학

결정학) 역격자 벡터의 정의와 성질

코고는 곰돌이 2022. 2. 5. 18:55
반응형
1. 역격자 기저 벡터(basis vector)

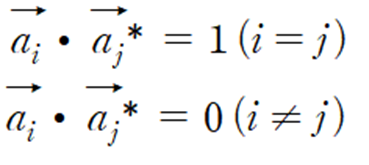
결정 격자의 기저 벡터를 a_{i} 그리고 역격자의 기저 벡터를 a_{j}* 라고 표시하겠습니다. 기저 벡터는 단위 벡터와 다르게 서로 다른 길이를 가질 수 있습니다.

 

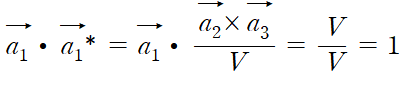
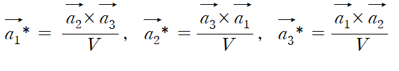
위 식을 만족하는 벡터 a_{j}*를 역격자 기저 벡터라고 정의합니다. 벡터의 삼중적과 역격자 기저 벡터의 정의를 활용해서 역격자를 다르게 표현하겠습니다. 

 

 

벡터 a_{2}*와 a_{3}*에 대해서도 같은 과정을 반복하면 아래 결과를 얻을 수 있습니다. 

 

 

2. 역격자 벡터의 성질

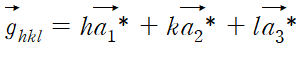
g는 역격자 벡터입니다. 역격자 벡터를 수식으로 표현하면 아래와 같습니다. 

 

a_{1}*, a_{2}*, a_{3}*는 역격자 기저 벡터입니다.

 역격자 벡터의 성질을 1과 2에 나타냈습니다.

 

결정 격자에서의 (hkl)이 평면이었다면 역격자에서는 (hkl)이 점으로 나타납니다. 예를 들어서 설명해보겠습니다. 입방 결정 격자에서 (010) 평면이었다면 역격자에서는 점 좌표 (0,1,0)이 되는 것이죠.

 

결정 격자에서는 면, 역격자에서는 점이 된 모습입니다. 

 

그럼 이제 g 벡터와 평면 (hkl)이 수직함을 증명하겠습니다.

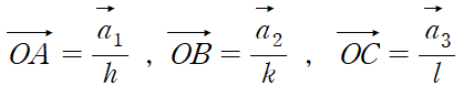
평면 (hkl)을 나타냈습니다.

 

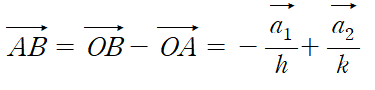
점 A,B,C로 이루어진 평면을 (hkl)이라고 하겠습니다. 밀러 지수의 정의를 역으로 이용해 OA 벡터, OB 벡터, OC 벡터를 알아냈습니다. 밀러 지수를 활용하면 x축과의 교점 A의 좌표는 (a/h,0,0)입니다. 기저 벡터 a_{1} 의 크기가 a임을 활용해서 각각의 벡터를 아래에 나타냈습니다.

 

이제 g 벡터와 AB를 내적한 값이 0임을 통해 둘이 수직함을 보이겠습니다. 

 

 

위와 같은 방법을 적용하면 g 벡터와 선분 BC, g 벡터와 선분 AC가 각각 수직함을 증명할 수 있습니다. 즉, g 벡터가 AB, BC, AC와 모두 수직하기 때문에 평면(hkl)과도 수직합니다.

 

 

 

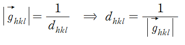
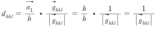
점 H는 평면(hkl)의 수선의 발이며 직선 OH의 길이는 d_{hkl}입니다. 

 

ⓐ에서 g 벡터가 (hkl)의 법선 벡터임을 확인했습니다. 선분 OH의 길이인 d는 선분 OA에 OH 방향의 단위벡터를 내적해서 구할 수 있습니다.

OH는 OA와 OH 방향의 단위벡터를 내적한 값입니다.
위 식에서 OA 벡터를 a_{1}벡터와 h로 나타낸 것입니다.

 

역격자 벡터의 정의에 의해 a_{1} 벡터와 g 벡터를 내적하면 h가 됩니다. 

 

3. 역격자는 왜 필요한가?

실험 결과로 나온 X선 회절 무늬를 분석하는데 역격자를 활용하면 큰 도움이 됩니다. 따라서 역격자라는 가상의 공간을 설정합니다.

 

 

 

2022.02.10 - [학문/수학] - 평행 육면체의 부피를 구하는 방법: 삼중적

 

평행 육면체의 부피를 구하는 방법: 삼중적

3개의 벡터로 구성된 평행 육면체의 부피를 구하는 방법에 대해서 알아보겠습니다. 평행 육면체의 부피를 구하는 방법은 밑면의 넓이 * 높이입니다. 이를 다르게 표현하면 아래와 같습니다. 지

lazywriter.tistory.com

 

 

반응형