X선의 보강간섭, X선 회절을 사용하는 이유, X선 회절의 장점과 활용

학문/결정학

X선의 보강간섭, X선 회절을 사용하는 이유, X선 회절의 장점과 활용

코고는 곰돌이 2022. 2. 12. 14:33
반응형
1. 보강 간섭과 상쇄 간섭

서로 다른 파동들은 서로 합쳐져서 새로운 하나의 파동이 됩니다. 만약 위상이 정확히 같은 2개의 파동이 합쳐진다면 파장은 같고 진폭이 2배인 파동이 되는 것이죠. 이런 경우를 보강 간섭이라고 합니다. 반대로 파동의 위상이 정확히 반 파장 정도 차이가 난다면 일자 모양이 됩니다. 이런 경우를 상쇄 간섭이라고 합니다.

 

보강간섭과 상쇄간섭

 

이 경우를 더 일반화해봅시다. 보강 간섭이 일어나는 경우는 위상차가 파장의 정수배 (λ, 2λ, 3λ, ···)인 경우입니다. 또, 상쇄 간섭이 일어나는 경우는 위상차가 반 파장의 정수배 (0.5λ, 1.5λ, 2.5λ, ···)인 경우입니다.

 

2. 원자에 X선을 비추면?

X선을 원자에 비추면 어떻게 될까요? 일단 전자가 그 에너지를 모두 흡수합니다. 만약 그 세기가 충분히 크다면 전자가 방출되면서 이온화가 될 것입니다. 하지만 세기가 그렇게 크지 않다면 전자가 흡수한 X선의 크기와 같은 에너지를 가진 X선을 다시 방출할 것입니다. 이런 과정을 탄성 산란(elastic scattering)이라고 합니다. 탄성 산란은 모든 방향으로 일어나게 됩니다.

 

3. 근데 왜 ‘회절’일까?

흔히 회절을 이야기하면 슬릿을 많이 이야기합니다. 평면파가 슬릿을 통과하면 구면파가 되어 퍼져나가게 됩니다.

 

슬릿을 지난 평면파가 구면파가 되었습니다.

 

위 그림과 같이 원자 하나를 슬릿이라고 생각하면 됩니다. 원자에 X선을 비추면 구면파의 형태로 산란이 일어나기 때문입니다.

 

4. 보강 간섭이 일어날 조건

ⓐ 입사각=산란각

회절이 일어나면 구면파가 발생함에도 입사각과 산란각이 같아야하는 이유가 무엇일까요? 바로 입사각과 산란각이 같을 때 보강 간섭이 가장 잘 일어나기 때문입니다. 

 

A에서 내린 수선의 발이 B, D에서 내린 수선의 발이 C입니다.

입사각의 크기를 α, 반사각의 크기를 β, AD의 길이를 d라고 가정하겠습니다. 그렇다면 점 A와 점 D에서 수선을 내려서 경로차를 확인해보겠습니다. 그 결과 두 X선 사이의 경로차가 BD - AC임을 알 수 있습니다. 

 

만약 α =β 인 경우라면 경로차가 발생하지 않게 되고 이 경우에 보강 간섭이 가장 잘 일어납니다. 

 

 

ⓑ 2dsin θ = nλ (Bragg's law)

 

 

보강 간섭이 일어나기 위해서는 위상 차이가 파장의 정수배(nλ)여야 합니다. 두 X선의 경로차는 SQ + QT입니다. 만약 이 SQ + QT의 값이 nλ 이라면 보강 간섭이 일어나는 것이죠. X선과 평면이 이루는 각의 크기가 θ, PQ사이의 거리를 d라고 했을 때 SQ=QT=d sin θ입니다.

 

 

위 식을 브래그의 법칙(Bragg's law)라고 하는데 브래그의 법칙을 만족한다면 보강 간섭이 일어납니다.

 

5. 반사와 회절의 차이

입사각=산란각 때문에 반사의 법칙이 떠오르기 쉽습니다. 물론 반사의 법칙처럼 이해해도 괜찮습니다. 하지만 X선 회절과 반사에 차이가 있음을 인지해야 합니다. 반사는 θ와 관계없이 항상 일어납니다. 하지만 X선 회절에서는 몇 개의 θ에서만 보강 간섭이 일어납니다. 이와 같은 맥락으로 반사의 효율은 좋은 반면에 회절의 효율은 많이 떨어집니다. 

 

 

6. 왜 하필 X선을 사용하는가?

2dsin θ = nλ 식을 봅시다. 0≤ θ ≤90이기 때문에 0≤ sin θ ≤1입니다. 또, 일반적인 경우를 가장 먼저 논하기 때문에 n에 1을 대입하겠습니다. 위 식에 n과 θ을 대입해보면 d와 λ가 비슷한 값을 가져야 유의미한 결과를 얻을 수 있음을 알 수 있습니다. 다양한 빛의 파장들 가운데 원자들의 면 간 거리와 유사한 파장을 가지는 빛은 X선입니다. 따라서, 원자의 구조 분석에 X선을 활용하는 것이죠.

 

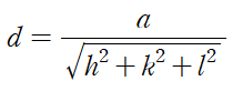
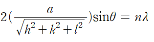
7. 면 간 거리 공식과의 응용

입방(cubic)에서의 면 간 거리 공식은 다음과 같습니다. 

이를 활용해서 브래그의 법칙에 대입하면 다음과 같습니다. 

 

8. X선 회절의 장점과 활용

X선 회절의 가장 큰 장점은 비파괴 검사라는 점입니다. 또, 위상이나 texture 방향에 대한 정보를 얻을 수 있습니다. 이런 장점을 바탕으로 X선 회절은 결정 구조를 파악하거나 물질에서 결정의 비율을 측정하거나 금속의 잔류 응력을 측정하는 것에 사용됩니다.

 

반응형