결정학) 결정 구조의 밀도 계산과 선밀도와 면밀도

학문/결정학

결정학) 결정 구조의 밀도 계산과 선밀도와 면밀도

코고는 곰돌이 2022. 2. 2. 21:55
반응형
1. 결정 구조에서 밀도 계산

밀도의 정의부터 살펴보겠습니다. 밀도=질량/부피입니다. 즉, 밀도를 알기 위해서는 부피와 질량을 알아야 합니다. 그렇다면 부피와 질량은 어떻게 구할 수 있을까요? 부피와 질량을 구하기 위해서는 결정 구조를 파악하는 것이 중요합니다. 결정 구조가 주어진다면 (1)원자의 반지름과 단위정 부피의 관계 그리고 (2)결정 구조 안에 들어 있는 원자의 개수를 알 수 있기 때문입니다.

 

(1)원자의 반지름과 단위정 부피의 관계와 원자 반지름을 안다면 단위정의 부피를 구할 수 있습니다. 예를 들어, FCC구조의 부피는 V= 16√2×R^3입니다. 여기에 R 값만 안다면 부피를 구할 수 있는 것이죠.

 

 (2)결정 구조 안에 들어 있는 원자의 개수는 질량을 구하는 것에 큰 역할을 합니다. 단순 입방 구조처럼 단위정 안에 질량이 M인 원자가 1개 있다면 단위정의 질량이 M이 됩니다. 면심 입방 구조처럼 단위정 안에 질량이 M인 원자가 4개가 있다면 단위정의 질량이 4M이 되는 것이죠. 즉, 결정 구조와 원자량을 안다면 단위정의 질량까지 구할 수 있습니다. 지금까지 다룬 내용을 수식으로 만들겠습니다.

 

몰의 개념에서 파생

 

밀도의 개념에 몰의 개념을 추가

 

밀도에 관한 식을 기호로 나타내면 아래 식이 됩니다.

 

 

<예시>

가상의 원소 X의 결정 구조는 FCC이며 원자 반지름은 0.1nm, 원자량은 60.2g/mol 이라고 하겠습니다. 이 때 밀도를 구해보겠습니다.

 

결정 구조가 FCC이기 때문에 하나의 단위정에는 4개의 원자가 있습니다.

또 V= 16√2×R^3입니다. 이제 공식에 대입해보겠습니다.

 

cf. 0.1nm=10^(-8)cm 

 

 

2. 선밀도(Linear Density)

선밀도의 정의는 벡터의 단위 길이에 대한 그 벡터에 중심이 있는 원자의 개수입니다. 이를 수식으로 표현하면 다음과 같습니다.

선밀도의 정의

선밀도와 동등함(equivalent)의 정의를 통해서 동등한(equivalent) 방향이라면 선밀도가 같다는 것을 알 수 있습니다. 선밀도를 구하는 예시를 들어보겠습니다. (이 때 선밀도를 R로 나타냅니다.)

 

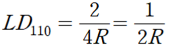
오른쪽 그림은 면심 입방 구조의 (001)평면을 위에서 바라본 것입니다.

 

오른쪽 그림은 면심 입방 구조의 (001)평면입니다. 이때 [110]방향의 선밀도를 구해보겠습니다. 이 때 벡터의 길이는 4R, 벡터에 중심이 있는 원자의 개수는 2개입니다. 

면심 입방 구조에서 [110] 방향의 선밀도

 

 

3. 면밀도(Planar Density)

면밀도의 정의는 특정면의 단위 면적당 특정면에 중심을 둔 원자의 개수입니다. 이를 수식으로 표현하면 다음과 같습니다.

면밀도의 정의

면밀도를 구하는 예시를 들어보겠습니다. (이 때 면밀도를 R로 나타냅니다.)

 

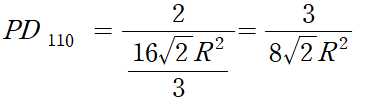
오른쪽 그림은 체심 입방 구조의 (110) 평면을 나타냈습니다.  

 

오른쪽 그림은 체심 입방 구조의 (110)평면입니다. (110) 평면의 면밀도를 구해보겠습니다. 가로의 길이는 √2a, 세로의 길이는 a이기 때문에 (110) 평면의 면적은 √2a^2입니다. 오른쪽 그림에서 √3a=4R임을 알 수 있습니다. 여기서 구한 a=4R/√3을 이전에 구한 면적 식에 대입합니다. 그 결과 면적을 (16√2×R^2)/3 라고 표현할 수 있습니다. 또, (110) 평면에 중심을 둔 원자의 개수는 2개입니다.

체심 입방 구조에서 (110) 평면의 면밀도

 

반응형